一體化孔板流量計
發布時間:2025-05-26 ???
瀏覽次數:
一體化孔板流量計概述:
ZHLG型
一體化孔板流量計是將標準孔板與
三閥組及
差壓變送器組裝在一起或者與多參量變送器配套組成的高量程比差壓流量裝置,可測量氣體、蒸汽、液體及天然氣的流量;一體化孔板流量計廣泛應用于石油、化工、冶金、電力、供熱、供水等領域的過程控制和測量。
一體化節流裝置是由流量計生產廠家按照用戶的要求將節流裝置與截止閥、冷凝器(或冷凝圈)、引壓管、三閥組和差壓變送器組裝在一起。貨到只需將其法蘭與管道焊接和接入差壓變送器電纜即可投入使用。
近年來一體化節流裝置由于極大地方便了用戶,受到了市場的歡迎,產生了多種不同的結構型式。其結構與組成示意圖如下:
一體化孔板流量計工作原理:
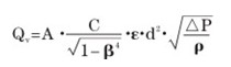
節流裝置測量流量的原理是依據著名的伯努力流體力學原理。如圖(1)所示在管道中安放一只節流件,有流體流過節流件時,會在節流件兩側產生一個壓力差(差壓P),這時的流量與差壓的平方根成正比,即:

體積流量:
式中:A:常數
C:流出系數
β:直徑比(= d / D)
d:節流件孔徑(mm)
ε:可膨脹性系數
△P:節流件前后的差壓(Pa)
ρ:工況下流體密度(kg/m
3)
孔板流量計適用范圍:
1.公稱直徑: 15 mm ≤DN≤1200mm
2.公稱壓力:PN≤10MPa
3.工作溫度:-50℃≤t≤550℃
4.量程比:1:10, 1:15
5.孔板精度:0.5級,1級
一體化孔板流量計產品選型:
|
型號 |
說 明 |
|
ZHLG |
節流裝置(孔板流量計) |
|
|
代號 |
按其結構特征的兩大基本分類 |
|
|
K |
孔板 |
|
|
代號 |
公稱壓力(Kg/cm²) |
|
|
2.5 |
2.5 |
|
|
10 |
10 |
|
|
16 |
16 |
|
|
25 |
25 |
|
|
64 |
64 |
|
|
100 |
100 |
|
|
160 |
160 |
|
|
代號 |
口徑(mm) |
|
|
15~1200 |
15~1200mm |
|
|
代號 |
按其結構形式細分 |
|
|
H |
標準孔板(環室) |
|
|
Y |
標準孔板(法蘭) |
|
|
K |
標準孔板(鉆孔) |
|
|
T |
不在上述之列的特殊節流裝置 |
|
|
代號 |
介質 |
|
|
1 |
液體 |
|
|
2 |
氣體 |
|
|
3 |
蒸汽 |
|
|
4 |
高溫液體 |
|
|
代號 |
補償形式 |
|
|
N |
不帶壓力、溫度補償 |
|
|
P |
帶壓力補償輸出 |
|
|
T |
帶溫度補償輸出 |
|
|
Q |
帶壓力、溫度補償輸出 |
|
|
代號 |
變送器差壓量程范圍 |
|
|
0 |
微差壓量程 |
|
|
1 |
低差壓量程 |
|
|
2 |
中差壓量程 |
|
|
3 |
高差壓量程 |
|
|
代號 |
變送器配置 |
|
|
CY |
差壓變送器 |
|
|
DC |
智能多參量變送器 |
孔板流量計安裝與使用注意事項:
1、核準參數:安裝前務必先核準現場工況條件,確認節流裝置計算書的所有參數與安裝點工況條件參數完全相同后,才可進行安裝,否則必須進行必要的修正或補償。
2、方向:節流裝置的孔板提柄上或法蘭外圓面上分別有“+”、“-”號,“+“為上游側(迎著流體過來的方向),不得裝反。
3、插入深度:環室取壓孔板,插入深度為管道與環室之間距離為2~5mm,但不能將管道頂到環室,否則管道受熱膨脹便會頂壞環室。鉆孔取壓孔板,突入孔板內的管道,任何一點不得擋住取壓孔。
4、系統吹掃:節流裝置安裝完畢既應吹掃,此時應先將節流件(孔板片)拆下,以免管道內雜物刮傷孔板片或堵塞引壓管,待吹掃完成后再裝好,方向為流體流動方向與孔板上的箭頭同向。注意擰緊以保證密封。
5、調零:吹掃安裝完成后,將三閥組中間閥開啟,此時差壓值應為零,如果不是,就必須要歸零,方法是按住左下角按鍵不動20秒鐘,松開后即可。
6、最后將三閥組中間閥慢慢關閉(必須關嚴),正負引壓管上部的截止閥全部開啟,孔板即可正常工作。
7、安裝同軸度要求:節流件與管道必須同心,偏心距離不大于0.0025D,用戶在焊接操作時應予注意或采取必要的措施。
8、孔板一般都要配合差壓變送器使用,導壓管與差壓變送器連接時要注意正負壓不要裝反,“H”為正,“L”為負;
9、正負取壓口引出的導壓管在任何情況下都要保持平行;
10、如必須裝調節閥,則建議最好把調節閥裝在下游計算書上要求的直管段長度之后。
11、被測介質為氣體或蒸汽且溫度和(或)壓力有較大波動時,應進行溫度和(或)壓力補償。壓力變送器裝設在上游1D處,熱電阻裝設在下游1D處。
12、在差壓訊號管線上不得有可能積留液體或氣體的袋形空間,如不能避免時,應裝設集氣器(或排氣閥)和沉降器(或疏水器)。
13、變送器零點漂移也會引起測量誤差,使用過程中應定期對差壓變送器進行校準。
14、除須經常對導壓管進行檢查,以防堵塞外,對室外的導壓管應予適當保溫,以防凝固或凍結。如管線(垂直段)相當長,應避免由于溫差導致的虛假壓差,此時建議把兩根差壓管線靠近敷設并一起包在保溫層內。
15、差壓管線應有支架,以避免振動和有力作用在差壓計上。
16、節流裝置現場吊裝時,嚴禁用鐵絲、鋼絲、吊鉤穿入節流件喉部孔徑,以防止銳口損傷,影響精度;
17、節流裝置使用一段時間后,由于液體中有固體顆粒,氣體中有液體小滴或其它雜質,尖銳的入口將被磨鈍,從而使流出系數增大,造成附加誤差,此時應考慮調換節流件;另外,節流裝置長期使用后,在孔板上游側下角容易堆積污物,這會使流出系數變化,因此要定期檢查,排除污物。
18、導壓管:導壓管的材質應按被測介質的性質和參數而定,其內徑過小和長度太長會使信號嚴重滯后或失真